Maryam Akmal
Center for Global Development
Blog
Recent results from PISA-D reveal that there is a learning crisis at the top—in many countries even the middle class and “statistical elites” are failing to reach international standards for learning. While much rhetoric around equity in education focuses on bridging gaps within countries, such as between the rich and the poor, the evidence suggests that many education systems are failing to achieve high learning even for the most privileged groups, while less privileged groups do even worse. What role does achieving within-country equality across groups play in reaching universal proficiency goals as highlighted in SDG4?
There’s no question that children in poorer households are disadvantaged in education. Grade attainment is lower for children from poorer households. And household socioeconomic status (SES) is a big factor explaining learning differentials between children from rich and poor households. Furthermore, positive sorting between households and schools can further aggravate inequalities: richer households are able to select better schools (Anand et al., 2018). Work by Das (2018) shows that by Grade 3, gaps in learning emerge between children from households with lower and higher SES, and that these gaps widen dramatically by age 17 due to children from poor households dropping out at higher rates than children from rich households. But a critical question is, how far would closing this wealth gap in learning (achieving learning equality across SES groups) get us towards the international equity goal of universal literacy and numeracy for all?
A new paper addresses this question by decomposing the wealth gap in learning into its key components: differential grade attainment and differential learning achievement per grade. This decomposition is possible because a group of children could have higher literacy or numeracy because more of them have completed a higher grade (the group has a steeper grade attainment profile), more of them are literate in any given grade (the group has a steeper learning profile), or both. Using household survey data from ASER and Uwezo across India, Pakistan, Kenya, Tanzania, and Uganda, the paper explores how close children from poor households would get to universal literacy and numeracy if they had the same grade attainment, learning per grade, or both, as children from rich households. While key international goals focus on equity—defined as universal achievement to a certain standard—many efforts also focus on equality, either of schooling or learning, across groups. Therefore, it is critical to understand the role equality can play, especially across specific groups, in achieving established equity targets.
ASER and Uwezo data show that learning on average is low across the board. Learning is low for both children from poor and rich households relative to any reasonable standard of minimal mastery of basic literacy and numeracy. Achieving an international equity goal, defined as universal literacy and numeracy (which itself is quite a low bar for learning), will require more than just closing the rich-poor learning gap (that is, within-country equality across SES groups)—it will take progress in learning for all.
Figure 1. Even achieving equality with the rich leaves large portions of the poor without basic numeracy skills

A hypothetical scenario where all children from poor households have the grade attainment profiles of children from rich households (while keeping their current learning profiles) would still leave more than 40 percent of the children from poor households innumerate in India, Pakistan, and Uganda (the red bars in figure 1). Equalizing learning profiles between the rich and the poor (while maintaining current grade attainment profiles) would still leave large segments of the poor unable to achieve basic literacy and numeracy (the green bars in figure 1 show this for numeracy). What happens if children from poor households suddenly have the grade attainment and learning achievement profiles of children from rich households, that is, complete within-country equality? Such a scenario would still leave at least a quarter of the children from poor households innumerate in India, Pakistan, Tanzania, and Uganda (the yellow bars in figure 1).
Breaking this down further, the paper examines the portion of the equity gap that is explained by differential grade attainment and by differential learning within each grade. Excluding Kenya, equalizing grade attainment between children from rich and poor households would only close between 8 percent (India) and 25 percent (Pakistan) of the gap to universal numeracy. Equalizing learning profiles would close between 16 percent (Uganda and Pakistan) and 34 percent (India) of the gap to universal numeracy. Results for literacy show similar projections: excluding Kenya, equalizing grade attainment would close only between 8 percent (Uganda) and 28 percent (Pakistan) of the gap to universal literacy, while equalizing learning profiles would close between 13 percent (Uganda) and 44 percent (India) of the gap to universal literacy.
Children from poor households learning less in each grade is therefore a substantial and often larger part of the equity gap compared to the more widely documented gaps in enrollment and grade attainment. The WDR 2018 calls this “hidden exclusion,” since differential learning within grades typically receives less attention than the easier-to-measure gaps in schooling attainment. Achieving equity, therefore, will require an explicit focus on universal mastery of basic learning outcomes, not only on equality in years of schooling.
Table 1. Learning inequalities at the same grade levels explain a significant proportion of the equity gap
| Country | Current Learning Levels of Poor (%) | Poor-Universal Gap (% points) | Percent of Gap to Universal Closed by Having Same Grade Attainment Profile as Rich (%) | Percent of Gap to Universal Closed by Having Same Learning Profile as Rich (%) | Percent of Gap to Universal Closed by Having Same Grade and Learning Profile as Rich |
|---|---|---|---|---|---|
| India | 35 | 65 | 8 | 34 | 42 |
| Kenya | 59 | 41 | 37 | 29 | 54 |
| Pakistan | 37 | 63 | 25 | 16 | 41 |
| Tanzania | 52 | 48 | 21 | 33 | 48 |
| Uganda | 38 | 62 | 15 | 16 | 31 |
Source: Akmal & Pritchett. (2019). “Learning Equity Requires More than Equality: Learning Goals and Achievement Gaps between the Rich and the Poor in Five Developing Countries”
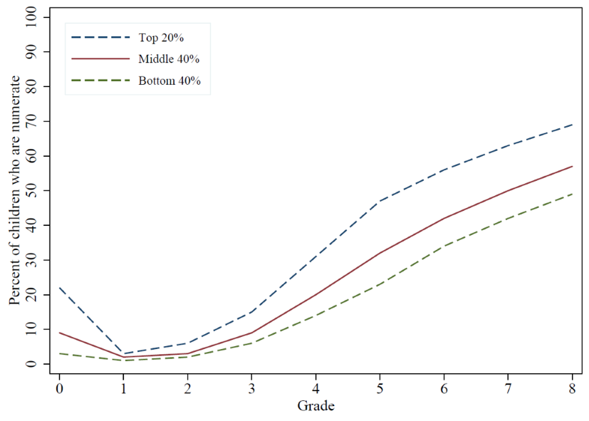
This “hidden exclusion” of learning begins in early grades. In India, the gap in basic numeracy between children from rich and poor households emerges by Grade 3 (also shown by Alcott & Rose, 2017), and persists even after eight years of formal schooling (figure 2). Taking these findings together with those above suggests that both learning improvements targeted at marginalized groups (to address early learning gaps) and broad-based improvements in education systems (that improve learning for all) are needed to achieve international learning targets. One promising approach is addressing problems with overambitious curriculums that assume mastery of grade-level content by teaching at the right level.
Figure 2. The learning gaps between children from rich and poor households emerge early in India

Wealth is just one dimension of inequality. Other work has examined differences in schooling and learning by gender and found similar results in terms of the contribution of equality to achieving global equity. Kaffenberger and Pritchett (2017) use data on years of schooling and literacy to simulate how women’s literacy would change if (i) women attain the same years of schooling as men (equalizing school attainment), (ii) women achieve the same learning in each year they spend in school (equalizing the learning profile), and (iii) both (equalizing schooling and learning). They find that equalizing both schooling and learning on average would increase women’s literacy by about 9 percentage points, and that this would still leave 30 percent of women illiterate. Achieving universal basic mastery clearly requires more than gender parity—it requires substantial improvements for both genders.
Pritchett and Sandefur (2017) examine another “equalization” goal: universal primary school completion. Using DHS data, they examine how literacy levels among young women would be different if all of them had completed primary school. In Nigeria, where 58 percent of the cohort of young women they examine are illiterate, universal primary completion would reduce illiteracy only to 53 percent—leaving more than half of the young women functionally illiterate. On average, across nearly 50 developing countries, 40 percent of the young women would have remained illiterate even if all had completed primary school.
Finally, Crouch and Rolleston (2017) look at multiple sources of inequality and find that learning gaps by gender, income, and even urban and rural geography are much smaller than what they call “pure inequality.” Pure inequality is the learning difference between the bottom quartile and top quartile performers, and it is the largest source of learning inequality according to the SACMEQ data (see figure 3). Similar to the findings described above, this indicates that closing the “wealth gap” or the “gender gap” will only go a small way towards closing the “achievement gap.” And, because we know even high performers do poorly by international standards, even closing the achievement gap is but one step on the road towards global equity.
Figure 3. “Pure” inequality between low and high achievers is larger than gaps by gender, wealth, or geography

Ensuring equitable quality education (SDG Goal 4)—that is, universal early conceptual mastery of basics—should be a key goal of any education system. Improving equity will require both pro-poor approaches targeting the learning of the marginalized to reduce inequalities, as well as efforts to raise learning levels for all.
RISE blog posts and podcasts reflect the views of the authors and do not necessarily represent the views of the organisation or our funders.